CI-Dextran mix
What is CI?
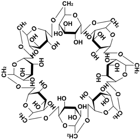
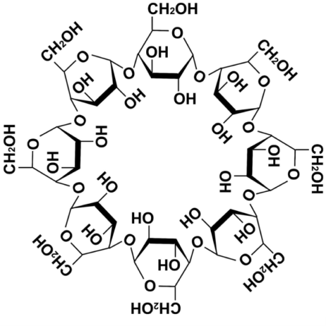
CI is an abbreviation for cyclodextran, a cyclic oligosaccharide consisting of glucose units linked together in rings. Its major characteristic is its capacity to inhibit the formation of dental plaque.
Despite similarities to cyclodextrin, CI differs in its glucose bonding mode.
| CI (cyclodextran) | CD (cyclodextrin) |
|
|---|---|---|
| Component | Glucose | Glucose |
| Bonding mode | α-1,6 bond | α-1,4 bond |
| Dental plaque formation inhibiting effect | Yes | No |
![]() | ![]() |
Inhibiting the formation of dental plaque
Dental plaque, a factor underlying various oral health issues
Dental plaque is an aggregate consisting of bacteria such as caries and periodontal disease bacteria, together with polysaccharides (glucans). Caries bacteria produce insoluble glucan from sugar through the action of an enzyme called “GTF,” which forms dental plaque. Tooth decay occurs due to the acid produced by caries bacteria within the dental plaque, which dissolves the tooth surface.
The presence of dental plaque also encourages the growth of periodontal disease bacteria, which can cause halitosis and virus infection.
The best way to resolve oral care issues is to prevent dental plaque from forming.
* GTF: Insoluble glucan synthase
CI inhibits GTF, preventing plaque formation even in presence of sugar
The unique structure of CI blocks the action of GTF. While substances like xylitol are described as sugars that are difficult for cavity-causing bacteria to use, but CI actually blocks the action of cavity-causing bacteria, preventing them from being able to use sugar. Thus, it is effective in blocking the actions of caries bacteria even when consumed with sugar that these bacteria can use.
CI is effective against the stickiness in the mouth
【Academic conference presentation experience】
- The 73rd Japanese Society of Applied Glycoscience (2024.9.25-27)
『Development of manufacturing method and functional research for cyclodextran』 Technology Development Award - The 67th Spring Meeting of the Japanese Society of Periodontology (2024.5.24-25)
『Cyclodextran inhibits biofilm formation by the periodontal pathogens Porphyromonas gulae and P. gingivalis, and suppresses halitosis and inflammatory responses caused by periodontal pathogens』 - The 63rd Annual Congress of the Japanese Society of Pediatric Dentistry (2024.5.16-17)
『Investigation into the mechanism of inhibitory effect of cyclodextran on enzyme activity in Streptococcus mutans』 - The 71st Japanese Society of Applied Glycoscience (2022.8.31-9.2)
『Study on the method of mobilizing poorly soluble substances using CI-Dextran mix, a product containing cyclic isomaltooligosaccharides 』 - The 59th Annual Meeting of the Japan Pediatric Society (2021.6.7-20)
『Examination of biofilm destruction effect of cyclodextran 』 - The 59th Annual Meeting of the Japan Pediatric Society (2021.6.7-20)
『Inhibitory effect of cyclodextran on enzyme activity in Streptococcus mutans 』 - The 68th Annual Meeting of Japanese Association for Dental Research (2020.11.7-8)
『Inhibitory Effect of Cyclodextran on Glucosyltransferase B in Streptococcus mutans』
【Publication of academic papers】
- Functional Foods in Health and Disease 2024; 14(2):143-156
『The effects of cyclodextran on plaque accumulation in healthy Japanese adults: A randomized, placebo-controlled, double-blind, parallel-group comparison study』 - Carbohydrate Polymer Technologies and Applications 2024; 7:100473
『Computational study on the inhibition mechanism of cyclodextran against GTF-SI from Streptococcus mutans focusing on the glucan-binding domain』
Uses
- General foods and confectionary
Effective even in foods containing sugar.
- Health foods and supplementsy
Effective even in small quantities.
- Dental products
Can be used in toiletry products
INCI name: Cyclized Leuconostoc Ferment Filtrate - Pet products
Other functions include the potential exhibition of inclusion effects.
(masking effects, solubilization, stabilization, improved bioavailability)
Physical properties and other functions
Tasteless and odorless
Highly stable and resistant to heat, acids, and alkalis
Highly soluble in equivalent volumes of water
Explanatory video
Overview
Recommended amount of mixture: 20mg does, 3times a day (60mg/day)
CI-Dextran mix
- Properties
- : White~Pale Yellow
- Contents
- :500g
- Expiraton date
- :Three years from date of manufacture
For more information and inquiries
Please send details, including your name, company name, and email address or phone number

